“纪念中国人民抗日战争暨世界反法西斯战争胜利80周年”书法篆刻网络展
白治有《八载万里联》
翟维华《毛泽东诗》
丁玉勋 《勿忘国耻》
董恺 自撰《浴血铭功联》
冯学军 《主席语录》
葛建华 《忠魂热血联》
葛黎铭 《抗战胜利八十周年祭》
宫福友 《清平乐•六盘山》
官建国 《振兴中华》
官建国 《自作诗一首》
郭延平 《王勃滕王阁序》
韩光明 《菩萨蛮大柏地》
宋艳 《淮海战役》
黄克木 《铭记缅怀联》
黄立忠 《胜利》
黄立忠 《抗战胜利》
鞠林海 毛泽东词《卜算子•咏梅》
康有平《黄鹤楼送孟浩然之广陵》
孔祥林 《纪念抗战胜利80周年诗一首》
李文毅 《人民解放军占领南京》
李秀琴 毛泽东词《沁园春•雪》
李振江 《李振江印痕》
李志勇 《太行春感》
李广栋 张自忠词《满江红》
林萍 《定风波》
林青文《抗战民族联》
刘大枝 《抗日抒怀》
刘洪学 《沁园春•雪漫残阳》
刘顺吉 《习近平讲话》
刘同洲 《纪念抗战胜利八十周年》
刘兴淦 《抗战胜利八十周年咏》
刘贻星 《铭记缅怀联》
刘永奎 毛泽东词《长征》
刘占茹 《思飘诗入联》
刘振岱 《四海九州联》
卢甜 《毛主席词一首》
吕永和 《忆国殇》
马浩 毛泽东词《念奴娇•井冈山》
牛子扬 《朱德诗一首》
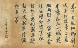
潘庆 《题江村课子图》
饶丰勇 毛泽东词《长征》
尚雨菲 《万里千秋联》
宋建国 《铭记历史》
苏宗炼 《红军洞诗一首》
田茂山 毛泽东词《西江月•井冈山》
王宝 《铭记历史》
王雷 《铭记历史》
王淑一 《牡丹赋》
王新彦 《先烈吾辈联》
王玉强 《于谦石灰吟》
韦于婷 《周总理诗一首》
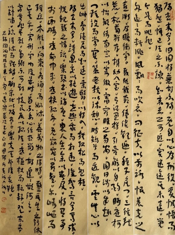
许国辉 《陶渊明归去来兮》
许国辉 《抗日战争十四年》
徐克峰 《太行春感》
徐克峰 《驱逐倭儿共一樽》
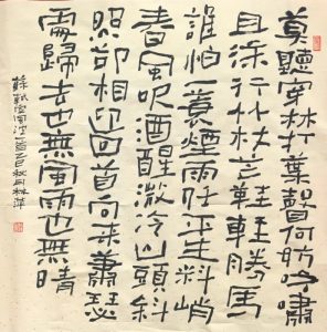
薛亮 《自作诗一首》
闫应峰《抗战胜利》
闫应峰《我们都是神枪手》
杨新艳 毛泽东词《卜算子•咏梅》
杨新艳 《战无不胜》
杨昭 《书法诗句》
张江苏 《中流砥柱》
张嘉麒 《节录世说新语》
张庆利 《夜闻晓望联》
张秀珍 毛泽东词《登庐山》
张月勤 《卫我河山》
郑金玉 《驱除倭寇》
周芹 毛泽东词《沁园春•长沙》
周燕鹏 自作诗《华夏抗战强军赋》
编辑/北斗









































































“纪念中国人民抗日战争暨世界反法西斯战争胜利80周年”书法篆刻网络展:等您坐沙发呢!